竹下数塾は「振り返る・反復する・やり抜く」ことで学ぶ力をつける個別指導塾です。 火水金土「毎日」指導、諫早市久山台にあります。
【 竹下数塾とは 】
竹下数塾へようこそ
合格校
ニコニコ表彰
保護者さまの声
指導料
指導の様子
日程
巡回・反復する。
勉強上手の勉強法
もっと、君と話そう。
数学の指導
竹数通信
お問合せ・所在地
高校生
中学生
小学生
教材倉庫
ラベル
000難関A理
の投稿を表示しています。
すべての投稿を表示
ラベル
000難関A理
の投稿を表示しています。
すべての投稿を表示
2019年6月20日木曜日
数Ⅲ微分 美しい問題です。青雲高の宿題から。
こんな問題を生徒に解かせる先生は、日頃からよく勉強しているのだろうなと想像します。問題はコチラ→
数Ⅲ微分を学んだら解きたい問題
解いていたらハマってしまいました。最後のtanα が分数関数になるところで、出題者はさらに微分することをもとめているだろうか?とか思ったりして。
美しい。こんな問題ばかりを解いていたら、子供たちも数学が好きになるだろうな。
この問題をネタに君たちが解法比べをする様子を想いうかべて、なんだかウキウキです。
2018年2月8日木曜日
東京医科歯科大 1997 複素数平面 良問を覚えよう!
数Ⅲ
東京医科歯科大1997 複素数平面 Z:実数とは 成分に直せ!
2018年2月6日火曜日
一橋大 2009 整数問題 基本 当たり前に考察してほしいこと。
2018年2月5日月曜日
九州工大 2000 複素数平面 ベクトル的な発想力を要求している。
受験生にとっては良問ですね。(1)(2)(3)は教科書レベルをしっかりと要求している。
(4)は単独で複素数が表す点をベクトル的にとらえきるかどうかを問うている。
(4)は(1)(2)(3)と関連性があるのだろうか。それとも無理やり作っているのだろうか。そんなことを感じながら解きました。
九州大 2011 数列漸化式と三角関数。 解いたあとでスッキリ。
2018年2月2日金曜日
新潟大 1998 数Ⅲ 速度のスッキリとした良問
速度に関するこの答案は、某教科書会社の答案より私のがイイ!と自画自賛です。
速さは「速度ベクトルの大きさ」からスッキリと立式できて、高校生に[5]の積分や[6]の2次方程式を解くところなど普通にできるようになってほしいなと思える問題でした。
九州大2016文系 【合同式】で簡潔に表現しよう。
【合同式】の説明は、
余りを簡潔に考える。【合同式】とは。
をご覧ください。
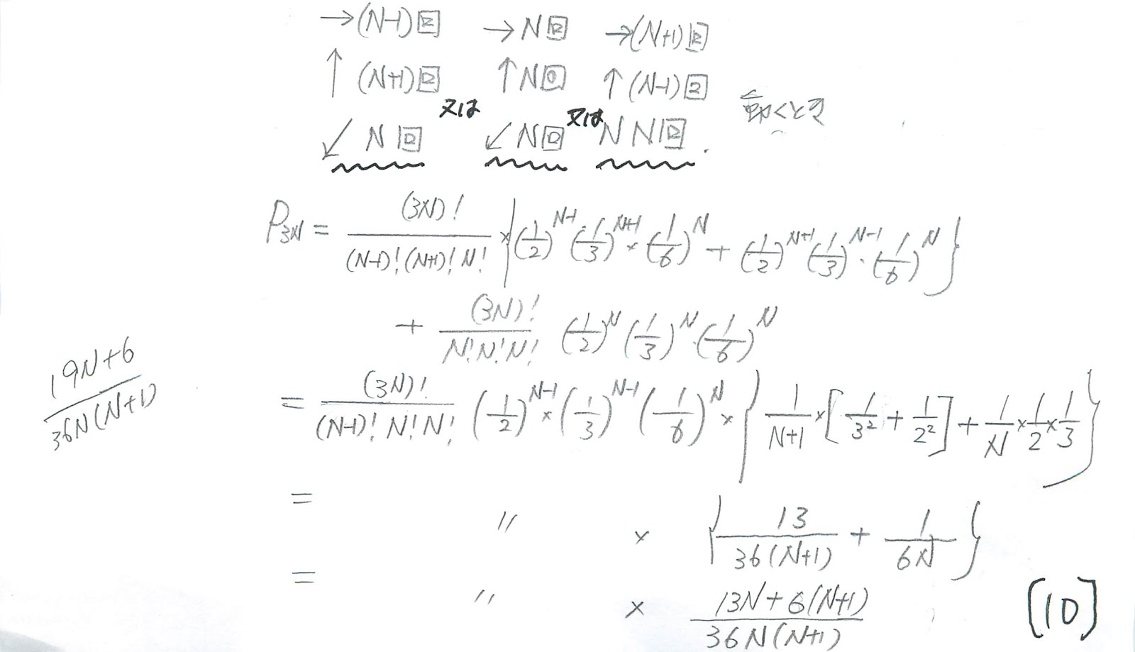
九州大 2016 文系 確率 とっても面白い!
2018年1月31日水曜日
九州大 連続出題【合同式】とは?余りを簡潔に考える道具。
九州大学・文系で【合同式】を使うと簡潔に答案が書ける問題が3年続けて出題されました。【合同式】とは?その導入レクチャーです。
次のテキストをダウンロードして学習してください。
問いの解答
前の投稿
ホーム
登録:
コメント (Atom)